三、解答题
19.(本小题满分12分)
如图,已知平面A1B1C1平行于三棱锥V-ABC的底面ABC,等边△AB1C
所在的平面与底面ABC垂直,且∠ACB=90°.设AC=2a,BC=a.

(Ⅰ)求证直线B1C1是异面直线AB1与A1C1的公垂线;
(Ⅱ)求点A到平面VBC的距离;
(Ⅲ)求二面角A-VB-C的大小.
解法一:
(Ⅰ)证明:∵平面A1B1C1∥平面ABC,
∴B1C1∥BC,A1Cl∥AC.
∵BC⊥AC,
∴B1C1⊥A1C1.

又∵平面AB1C⊥平面ABC,
平面AB1C∩平面ABC=AC,
∴BC⊥平面AB1C,∴BC⊥AB1.
∴B1C1⊥AB1,又A1C1∩B1C1=C1,
B1C1∩AB1=B1.
∴B1C1为AB1与A1C1的公垂线.
(Ⅱ)解法1:过A作AD⊥B1C于D,
∵△AB1C为正三角形,
∴D为B1C的中点.
∵BC⊥平面AB1C
∴BC⊥AD,又B1C∩BC=C,
∴AD⊥平面VBC,
∴线段AD的长即为点A到平面VBC的距离.
在正△AB1C中,AD=
·AC=
×2a=
a.
∴点A到平面VBC的距离为
a.
解法2:取AC中点O连结B1O,则B1O⊥平面ABC,且B1O=
a.
由(Ⅰ)知BC⊥B1C.设A到平面VBC的距离为x,
∴
,
即
BC·AC·B1O=
BC·B1C·x,
解得x=
a.
即A到平面VBC的距离
a.
(Ⅲ)过D点作DH⊥VB于H,连AH,由三垂线定理知AH⊥VB
∴∠AHD是二面角A-VB-C的平面角.
在Rt△AHD中
AD=
a,△B1DH∽△B1BC,
,
∴DH=
a,
∴tan∠AHD=
.
∴∠AHD=arctan
.
所以,二面角A-VB-C的大小为arctan
.
解法二:
取AC中点O连B1O,易知OB1⊥底面ABC,过O作直线OE∥BC交AB于E.
取O为空间直角坐标系的原点,OE,OC,OB1所在直线分别为x轴,y轴,
z轴建立如图所示的空间直角坐标系.

则A(0,-a,0),B(a,a,0),C(0,a,0),B1(0,0,
a).
(Ⅰ)∵
=(-a,0,0),
=(0,a,
a),
∴
·
=(-a,0,0)·(0,a,
a)=0,
∴
⊥
.
∴BC⊥AB1.
又∵B1C1∥BC,B1C1⊥AB1
由已知BC⊥AC,AC∥A1C1.
∴BC⊥A1C1.
而BC∥B1C1,∴B1C1⊥A1C1.
又B1C1与AB1,A1C1显然相交,
∴B1C1是AB1与A1C1的公垂线.
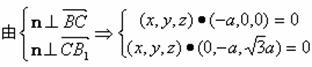
(Ⅱ)设平面VBC的一个法向量n=(x,y,z),
又
=(0,-a,
a)

取z=1
得n=(0,
,1),
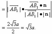
点A到平面VBC的距离,即
在平面VBC的法向量n上的投影的绝对值.
∵
=(0,a,
a),设所求距离为d,
![]()

所以,A到平面VBC的距离为
a.
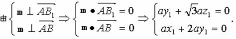
(Ⅲ)设平面VAB的一个法向量m=(x1,y1,z1),

取z1=1
m=(2
,-
,1),

∵二面角A-VB-C为锐角,
所以,二面角A-VB-C的大小为arccos
.
本课件完全公益,使用过程中有任何问题,或想参与新课件制作,请加开心教练QQ:29443574。