三、解答题
(18)(本小题满分12分)
如图,四面体ABCD中,O、E分别是BD、BC的中点,
![]()
(I)求证:
平面BCD;
(II)求异面直线AB与CD所成角的大小;
(III)求点E到平面ACD的距离。

本小题主要考查直线与平面的位置关系、异面直线所成的角以及点到
平面的距离基本知识,考查空间想象能力、逻辑思维能力和运算能力。满
分12分。
方法一:
(I)证明:连结OC
∵![]()
∵![]()
在
中,由已知可得![]()
而![]()
![]()
即![]()
![]()
平面![]()
(II)解:取AC的中点M,连结OM、ME、OE,由E为BC的中点知
![]()
直线OE与EM所成的锐角就是异面直线AB与CD所成的角
在
中,

∵
是直角
斜边AC上的中线,

异面直线AB与CD所成角的大小为
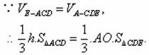
(III)解:设点E到平面ACD的距离为![]()

在
中,![]()

而

点E到平面ACD的距离为
方法二:
(I)同方法一。
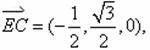
(II)解:以O为原点,如图建立空间直角坐标系,则![]()


异面直线AB与CD所成角
的大小为
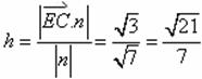
(III)解:设平面ACD的法向量为
则


令
得
是平面ACD的一个法向量。
又
点E到平面ACD的距离

本课件完全公益,使用过程中有任何问题,或想参与新课件制作,请加开心教练QQ:29443574。