解答题
22
.(本小题满分
14
分)
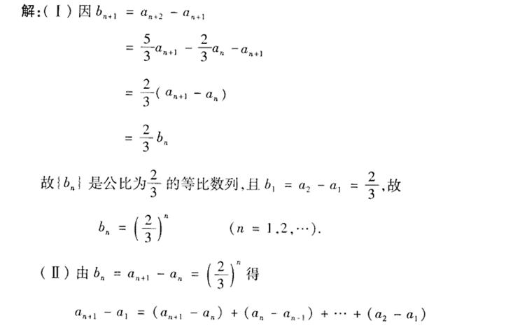
设数列
满足
:
(1)
令
求数列
的通项公式;
(2)
求数列
的前
n
项和
。
本课件完全公益,使用过程中有任何问题,或想参与新课件制作,请加开心教练QQ:
29443574
。